Skip to content

Irs Form Schedule B Printable

  • by
IRS Schedule B Form 1040 Sign Schedule B Online PDFliner

When it comes to tax season, one of the most important forms that taxpayers may need to fill out is Schedule B. This form is used to report interest and dividend income earned throughout the year. It is crucial for individuals who have received income from these sources to accurately report it on their tax return in order to avoid any penalties or fines from the IRS.

For those who prefer to fill out their tax forms manually, the IRS provides a printable version of Schedule B on their website. This form can be easily downloaded and printed out for individuals to fill out by hand. It is important to note that Schedule B may be required for individuals who have received more than a certain amount of interest or dividend income, so it is essential to check the IRS guidelines to determine if this form is necessary.

Fillable Form 941 Schedule B Edit Sign U0026 Download In PDF PDFRunIrs Form Schedule B Printable

Download and Print Irs Form Schedule B Printable

Form 941 Schedule B Print And Sign Form Online PDFlinerForm 941 Schedule B Print And Sign Form Online PDFliner

When filling out Schedule B, individuals will need to provide detailed information about the interest and dividend income they have earned throughout the year. This includes the name of the payer, the amount of income received, and any related expenses or deductions. It is important to accurately report this information to ensure that the tax return is filed correctly and to avoid any potential audits or penalties from the IRS.

One of the benefits of using the printable version of Schedule B is that individuals can take their time to carefully review and fill out the form at their own pace. This can help to ensure that all necessary information is included and that any potential errors are caught before submitting the form to the IRS. Additionally, having a physical copy of the form can make it easier to keep track of important tax documents and records for future reference.

In conclusion, Irs Form Schedule B Printable is a valuable tool for individuals who need to report interest and dividend income on their tax return. By accurately filling out this form, taxpayers can ensure that they are in compliance with IRS regulations and avoid any potential penalties or fines. Whether filling out the form manually or electronically, it is essential to provide accurate information to ensure a smooth tax filing process.

941 Schedule B 2024 2025 Fill And Download PDF Guru941 Schedule B 2024 2025 Fill And Download PDF Guru

Schedule B Form 1040 2024 2025 Fill PDF GuruSchedule B Form 1040 2024 2025 Fill PDF Guru

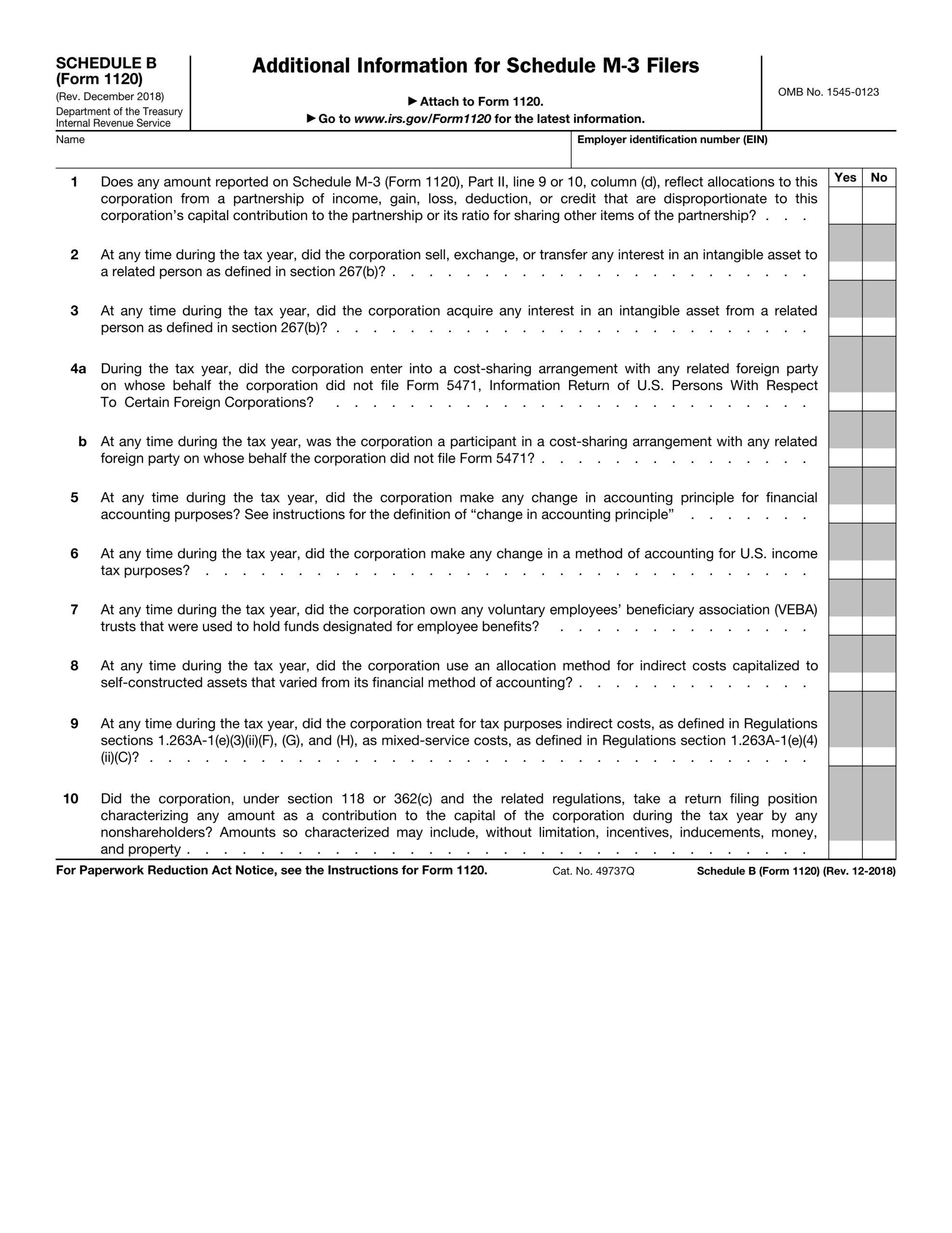
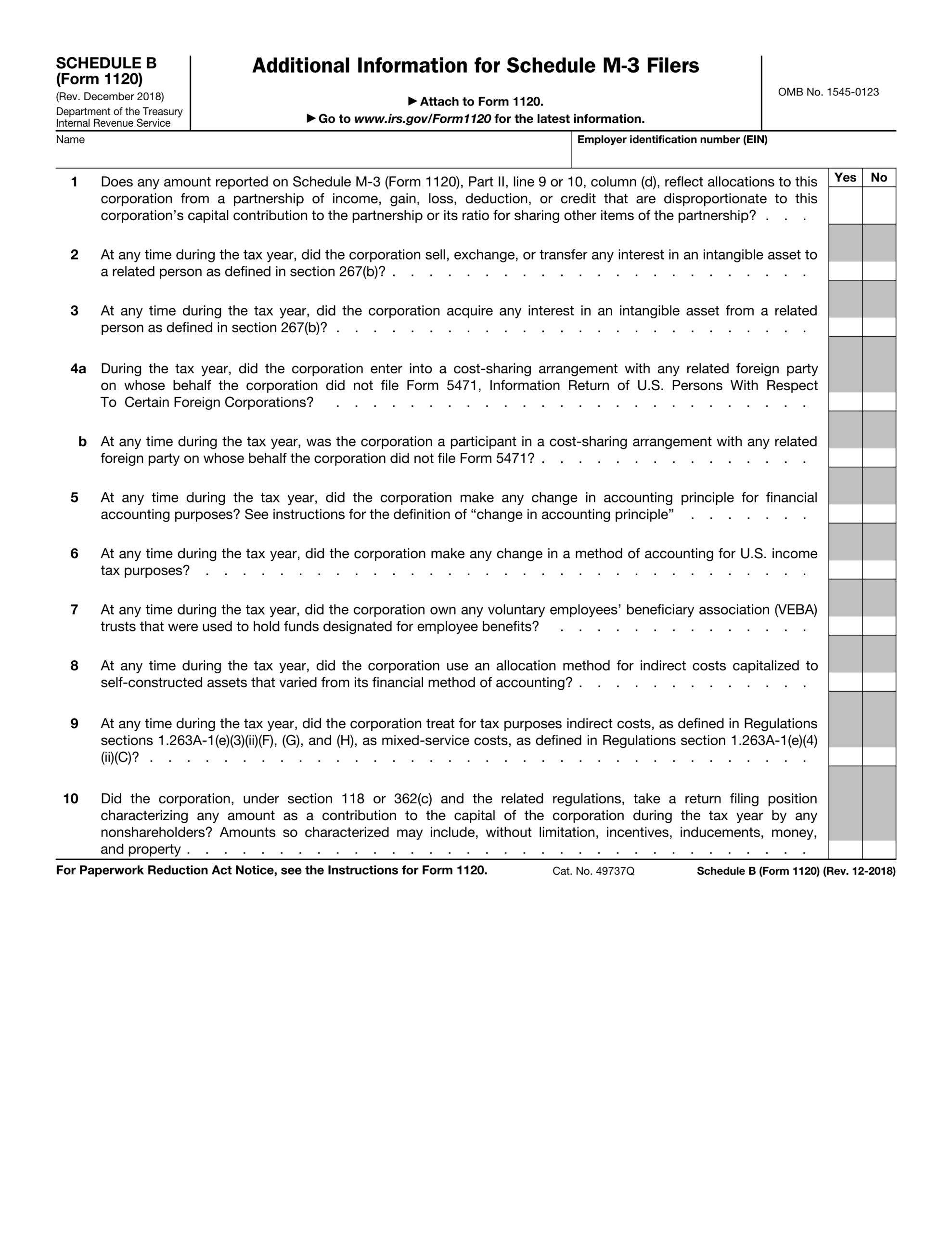
Schedule B Form 1120 Additional Info For Schedule M 3 Filers 2024 2025 PDF GuruSchedule B Form 1120 Additional Info For Schedule M 3 Filers 2024 2025 PDF Guru

IRS Schedule B Form 1040 Sign Schedule B Online PDFlinerIRS Schedule B Form 1040 Sign Schedule B Online PDFliner

Searching for a simple solution to manage your money matters? Our Irs Form Schedule B Printable offer a simple, secure, and customizable option from the comfort of your home. Perfect for your own needs, home businesses, or budgeting, printable checks save money and effort without compromising professionalism. Works well with most accounting software and print-ready by design, they’re a cost-effective choice to store-bought checks. Start printing today and take full control of your financial transactions—instant access, completely free. Explore our collection of templates and pick the one that suits your style. With our easy-to-use tools, managing your finances has never been this streamlined. Download your printable checks for free and simplify your check-writing process with security!.