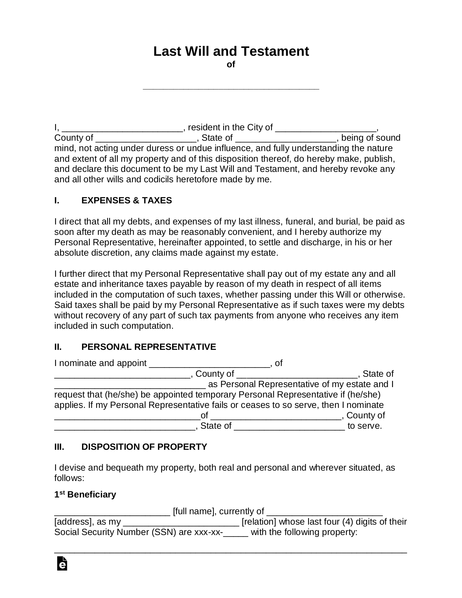
Creating a will is an important step in ensuring that your assets are distributed according to your wishes after you pass away. While consulting with a lawyer is always recommended, using a free printable will form can be a good starting point for those who want to draft their own will.
Will forms free printable can be easily found online, offering templates that you can customize to suit your specific needs. These forms typically include sections for naming beneficiaries, appointing an executor, and outlining how your assets should be distributed.
Quickly Access and Print Will Forms Free Printable
Free Living Will Forms PDF Word
Before filling out a free printable will form, it’s important to understand the legal requirements in your state. Each state has its own laws regarding wills, so make sure that the form you choose complies with the regulations in your jurisdiction.
While free printable will forms can be a convenient and cost-effective option, they may not always cover all the necessary details of a comprehensive will. Consulting with a lawyer can help ensure that your will is legally sound and accurately reflects your wishes.
Remember to update your will periodically to reflect any changes in your assets or family situation. It’s also a good idea to keep a copy of your will in a safe place and inform your loved ones of its location.
In conclusion, using a free printable will form can be a helpful tool for those looking to create a basic will. However, consulting with a lawyer is recommended to ensure that your will is legally valid and comprehensive. Taking the time to plan for the distribution of your assets can provide peace of mind for you and your loved ones.
39 Last Will And Testament Forms U0026 Templates TemplateLab
Last Will And Testament Templates Word PDF ODT Templates Legal
Free Living Will Forms PDF Word
Free Last Will And Testament Will PDF Word EForms
Looking for a hassle-free method to take care of your financial needs? The free printable checks give you a simple, reliable, and personalizable solution right from home. Be it for personal use, small businesses, or keeping track of expenses, printable checks save time and money without lowering professionalism. Compatible with common finance software and print-ready by design, they’re a wise choice to bank-ordered checks. Print your own today and take full control of your check issuing—instant access, zero charges. Explore our collection of templates and pick the one that matches your purpose. With our easy-to-use features, handling your money has never been this streamlined. Download your printable checks for free and simplify your payments with ease!.

