Skip to content

Printable Will Form

  • by
Free Last Will And Testament Will PDF Word EForms

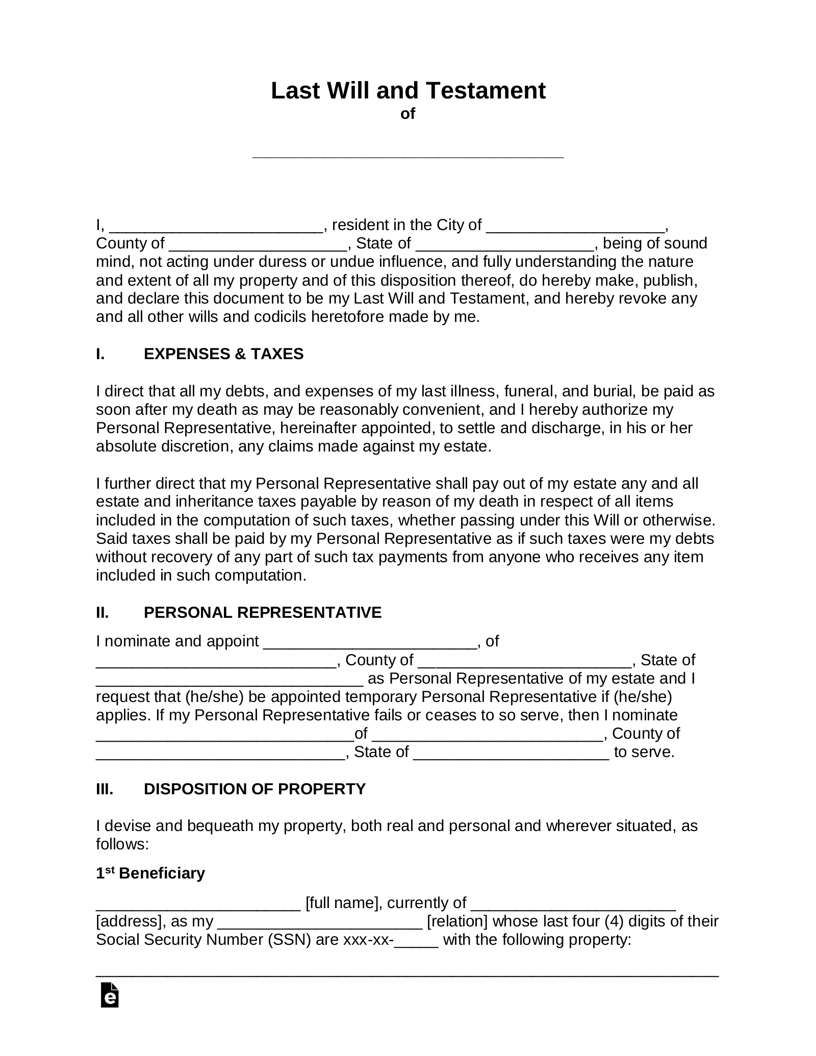
Creating a will is an important step in ensuring that your assets are distributed according to your wishes after you pass away. A printable will form can be a convenient and cost-effective way to draft your will without the need for expensive legal fees.

With a printable will form, you can easily outline how you want your assets to be divided among your loved ones, designate guardians for your children, and specify any funeral arrangements or other final wishes. It provides a clear and legally binding document that can help prevent any disputes among family members.

Free Living Will Forms PDF WordPrintable Will Form

Download and Print Printable Will Form

Missouri Will Forms Last Will And Testament Living Will Missouri Will Forms Last Will And Testament Living Will

When using a printable will form, it is important to carefully consider all aspects of your estate and make sure that your wishes are clearly stated. It is recommended to review the form with a legal professional to ensure that it meets all legal requirements and is properly executed.

Some printable will forms may also include options for creating a living will or healthcare directive, which can outline your preferences for end-of-life medical care in the event that you are unable to make decisions for yourself. These documents can provide valuable guidance to your loved ones and healthcare providers during difficult times.

Overall, a printable will form can be a simple and effective way to create a legally binding document that ensures your assets are distributed according to your wishes. By taking the time to carefully complete a will form, you can provide peace of mind for yourself and your loved ones knowing that your affairs are in order.

Remember, it is important to regularly review and update your will as your circumstances change, such as marriages, divorces, births, or deaths in the family. By keeping your will current, you can ensure that it accurately reflects your wishes and continues to provide protection for your loved ones.

In conclusion, a printable will form can be a valuable tool for creating a clear and legally binding document that outlines your wishes for your estate. By carefully completing a will form and seeking legal advice when needed, you can ensure that your assets are distributed according to your wishes and provide peace of mind for yourself and your loved ones.


Free Montana Living Will Declaration Form Template PDF EFormsFree Montana Living Will Declaration Form Template PDF EForms

Codicil To Will Form Free Printble PDF U0026 Word LawDistrictCodicil To Will Form Free Printble PDF U0026 Word LawDistrict

Free Last Will And Testament Template Templates 2 PDF WordFree Last Will And Testament Template Templates 2 PDF Word

Free Last Will And Testament Will PDF Word EFormsFree Last Will And Testament Will PDF Word EForms

Looking for a simple method to take care of your finances? These free printable checks offer a straightforward, secure, and editable alternative from the comfort of your home. Be it for personal use, home businesses, or financial planning, printable checks help you save money and effort without compromising security. Works well with common finance software and print-ready by design, they’re a cost-effective alternative to bank-ordered checks. Print your own today and take full control of your financial transactions—no waiting, no fees. Check out our ready-to-use templates and select the one that matches your purpose. With our intuitive tools, financial management has never been this convenient. Access your Printable Will Form and streamline your payments with confidence!.