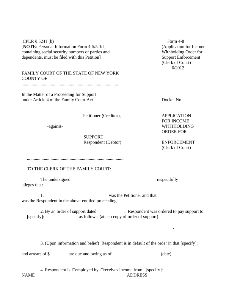
In today’s world, financial stability is crucial for individuals and families. However, there may be situations where you find yourself in debt and unable to pay off your creditors. This is where an Income Execution Form 5241 comes into play. This form allows creditors to collect a portion of your income to satisfy the debt you owe them.
Free Printable Income Execution Form 5241 is a valuable tool for both creditors and debtors. It provides a clear and legal way for creditors to collect the money owed to them, while also protecting the rights of debtors. By having access to this form, you can ensure that the process is carried out fairly and transparently.
Free Printable Income Execution Form 5241
Quickly Access and Print Free Printable Income Execution Form 5241
Free Printable Income Execution Form 5241
When it comes to filling out the Income Execution Form 5241, it’s important to provide accurate information about your income and expenses. This will help determine the amount that can be deducted from your paycheck to satisfy the debt. The form also outlines the rights and responsibilities of both parties involved in the process.
It’s essential to understand that the Income Execution Form 5241 is a legal document, and any false information provided can have serious consequences. By utilizing the free printable form, you can ensure that all the necessary details are correctly filled out, making the process smoother and more efficient.
By using the Income Execution Form 5241, creditors can recover the money owed to them, and debtors can work towards paying off their debts in a structured manner. This form provides a fair and transparent way to resolve financial obligations, ensuring that both parties are treated fairly throughout the process.
In conclusion, the Free Printable Income Execution Form 5241 is a valuable resource for individuals facing financial difficulties. By understanding how to properly fill out the form and following the guidelines outlined, you can navigate the debt collection process with confidence and ensure that your rights are protected. Take advantage of this free printable form to take control of your financial situation and work towards a debt-free future.
