When a loved one passes away, it can be a difficult and emotional time for their family and friends. Along with the grieving process, there are also legal matters that need to be taken care of, such as the distribution of the deceased person’s assets. This is where an executor of estate comes in.
An executor of estate is a person who is appointed to carry out the final wishes of the deceased, as outlined in their will. This individual is responsible for managing the deceased person’s assets, paying off any debts, and distributing the remaining assets to the beneficiaries. It’s a crucial role that requires careful attention to detail and adherence to legal guidelines.
Free Printable Executor Of Estate Form
Download and Print Free Printable Executor Of Estate Form
Free Small Estate Affidavit Forms PDF Word
Free Printable Executor Of Estate Form
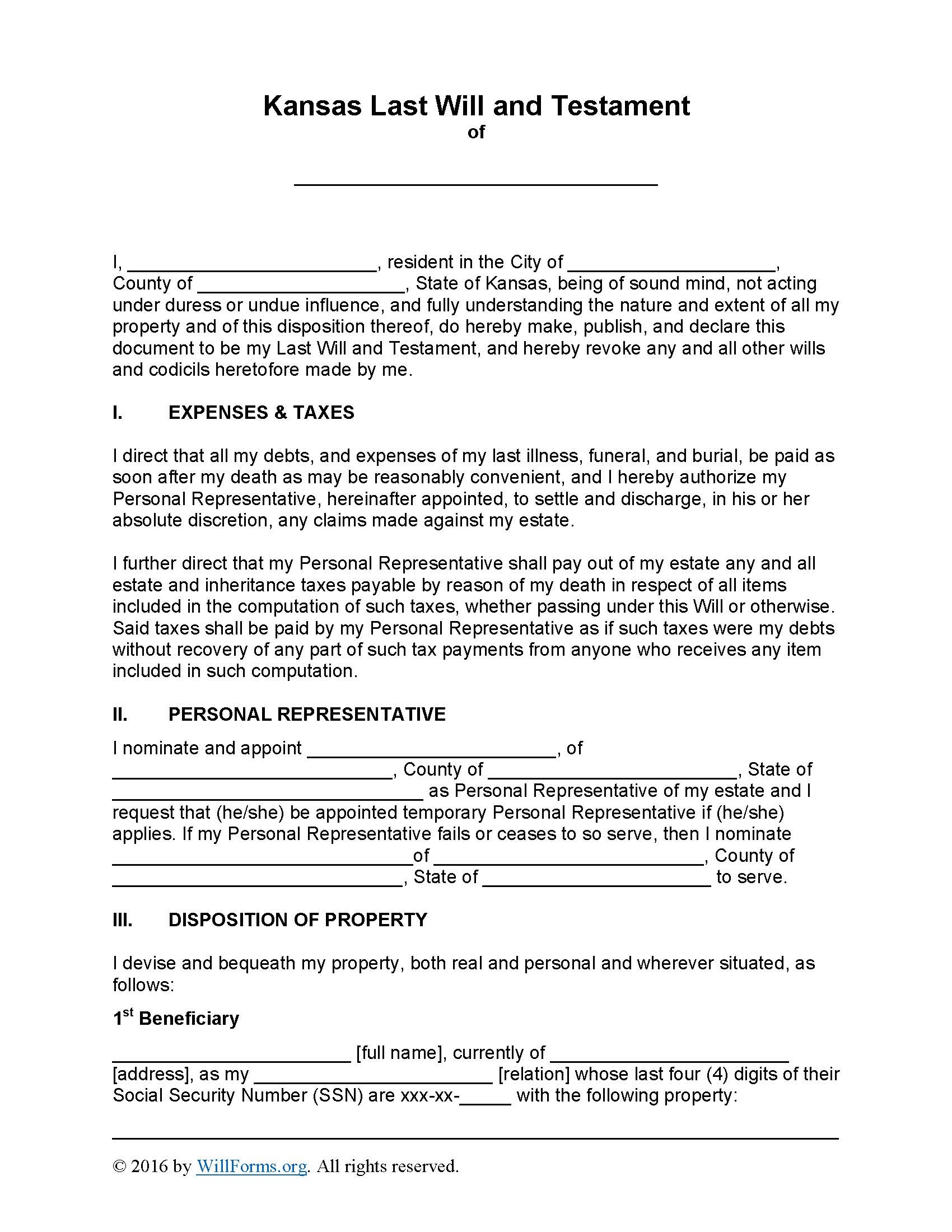
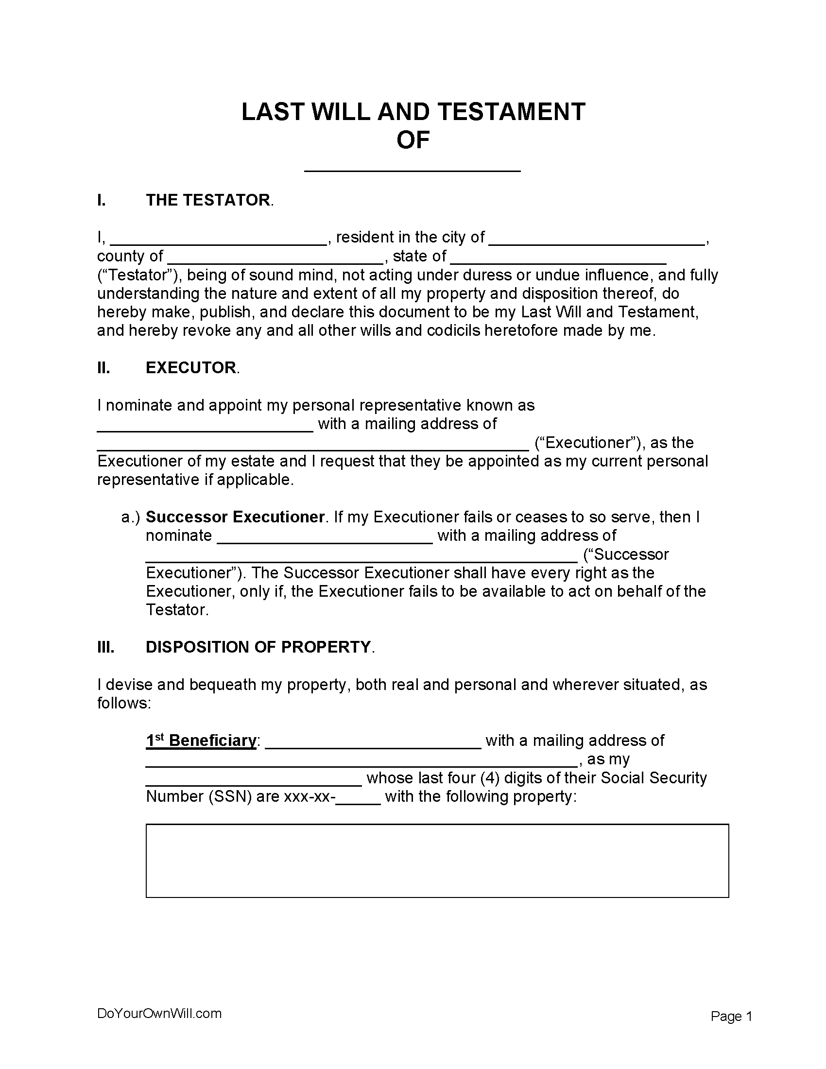
Having a clear and comprehensive executor of estate form is essential to ensure that the deceased person’s wishes are carried out accurately. This form typically outlines the responsibilities of the executor, as well as any specific instructions or requests from the deceased. It also provides a framework for the distribution of assets and the settling of debts.
Many people choose to use a free printable executor of estate form to help guide them through the process. These forms can be easily found online and are a convenient and cost-effective way to ensure that all necessary information is documented. By using a template, individuals can be sure that they are not overlooking any important details.
When filling out an executor of estate form, it’s important to be thorough and accurate. Any mistakes or omissions could lead to complications down the line. It’s also a good idea to consult with a legal professional to ensure that the form complies with state laws and regulations.
In conclusion, a free printable executor of estate form is a valuable tool for anyone who has been appointed as an executor of a deceased person’s estate. By using a template, individuals can ensure that they are fulfilling their duties properly and in accordance with the law. It’s a small but important step in the process of honoring the final wishes of a loved one.
