Creating a will is an important step in ensuring that your assets are distributed according to your wishes after you pass away. While many people may put off creating a will due to the perceived complexity and cost involved, there are free printable blank will forms available that make the process easier and more accessible.
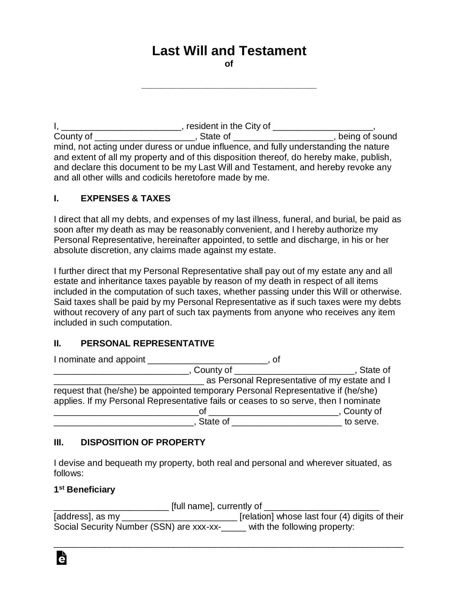
Blank will forms can be easily found online and downloaded for free. These forms typically include sections where you can fill in your personal information, details about your assets, and instructions on how you want your estate to be distributed. By using a blank will form, you can ensure that your wishes are clearly documented and legally binding.
Blank Will Forms Free Printable
Quickly Access and Print Blank Will Forms Free Printable
39 Last Will And Testament Forms U0026 Templates TemplateLab
When using a blank will form, it is important to carefully read through the instructions and fill out the form accurately. You may also want to consider consulting with a lawyer to ensure that your will is legally valid and covers all necessary aspects of your estate planning. However, for those with simple estates, a free printable blank will form can be a cost-effective solution.
It is important to regularly review and update your will as your circumstances change, such as getting married, having children, or acquiring new assets. By keeping your will up to date, you can ensure that your loved ones are taken care of and that your assets are distributed according to your current wishes.
In conclusion, blank will forms free printable offer a convenient and affordable option for creating a will. By using these forms, you can ensure that your estate is distributed according to your wishes and provide peace of mind for yourself and your loved ones. Remember to regularly review and update your will to reflect any changes in your life circumstances.
